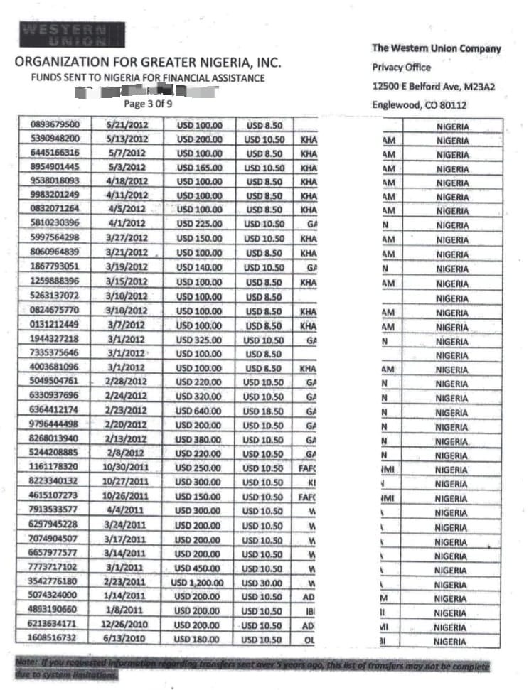
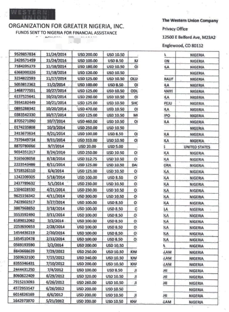
Funding Receipts